
从直角坐标到球坐标:拉普拉斯算符大变身
1 月 21 日 12 时,《张朝阳的物理课》第二十一期开播。搜狐创始人、董事局主席兼 CEO 张朝阳坐镇搜狐视频直播间,继续讲解氢原子。为方便求解氢原子薛定谔方程,张朝阳将定义在直角坐标系上的拉普拉斯算符变换到球坐标系,接着讨论角动量算符的定义与性质,尤其是角动量算符之间的对易关系,最后将哈密顿算符分解为径向动量算符与角动量算符,实现径向与角向的分离,最终得到完备的算符集。后续只要解出其共同本征函数就能解出氢原子的薛定谔方程。
「我们目前正处在研究量子力学的阶段,我还是想把解决氢原子问题作为最近的课题。」张朝阳强调课程重点,「今天继续讲氢原子。氢是宇宙中最重要的元素,了解氢原子,就会了解很多重要的分子,比如水。氢原子是一个三维系统,比一维势阱复杂得多。」
从直角坐标到球坐标:拉普拉斯算符大变身
直播课开始,张朝阳先带网友们一起复习二体系统定态薛定谔方程,将其分解为质心运动部分与相对运动部分,前者容易求解,且与氢原子结构无关;而相对运动部分的薛定谔方程,则是讨论的重点。
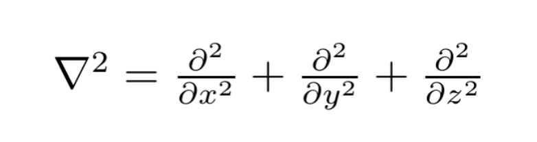
张朝阳介绍,相对运动部分的薛定谔方程中的势能项,只与电子和质子之间的相对距离有关,与他们相对位置的方向无关,也就是说,势能只与径向部分有关,而与角向部分无关。因此可以考虑把相对运动的动能项也分解成径向与角向两个部分。然而在此前,动能项中的拉普拉斯算符是定义在直角坐标系当中的:

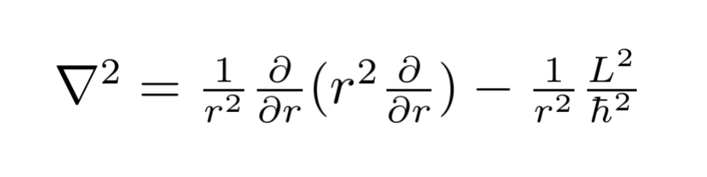
若将这个拉普拉斯算符也分解为径向部分和角向部分,则需要先求出它在球坐标系中的表达式。「根据球坐标系与直角坐标系的变换关系,可以得到球坐标系中的导数算符。」张朝阳讲到。

他继续推导,与直角坐标系不同,球坐标系的单位基矢量与坐标有关。他具体计算了这三个单位基矢量关于三个球坐标的各种偏导,并最终得到拉普拉斯算符在球坐标系下的形式:

从经典矢量到算符表示:角动量算符及其对易关系
此外,为了给大家介绍角动量的概念,张朝阳回到经典物理,计算了单摆的运动方程,并引入角动量的定义:

在量子力学中,直接把对应的动量变成动量算符即可得到角动量算符:

在此定义的基础上,张朝阳带着网友开始讨论角动量算符的对易关系,并计算角动量算符在球坐标系下的表示。他利用坐标与动量算符的正则对易关系、算符的运算规则,推导出角动量算符不同分量之间的对易关系。
据此,可以进一步证明角动量算符的平方与角动量算符的 z 分量对易:

哈密顿量变形式 径向角向相分离;H、L2、Lz,构成完备算符集
张朝阳继续讲解,前面已经介绍了球坐标系、导数算符在球坐标系下的表示,那么,根据角动量算符和动量算符的定义,就可以将角动量算符也用球坐标系表示出来:

并逐步求得角动量算符的平方:

他还提醒网友,对比此算符与拉普拉斯算符在球坐标系的表示,会发现其中关于角度的部分可以用角动量算符的平方表示出来:

「将拉普拉斯算符代回哈密顿算符的动能项当中,就可以将哈密顿算符用角动量算符表示出来。」张朝阳揭晓最终答案。
通过推导发现,角向部分被全部吸收到角动量算符中,哈密顿量的径向与角向也因此被分离。「由于角动量与 r 无关,根据上述形式的哈密顿量,很容易就能证明角动量算符的平方与哈密顿算符对易。另外前面也证明了角动量算符的平方与角动量算符的 z 分量对易。由此,哈密顿算符、角动量算符的平方、角动量算符的 z 分量,这 3 个算符就构成了一组完备的相互对易的算符集,」 张朝阳说,「后续只要解出其共同本征函数就能解出氢原子的定态薛定谔方程。」
「氢原子就是太复杂,我们不得不用到什么就学什么。」直播尾声,他再次鼓励网友。「物理学就是要一步步寻找最简化的方案。在这个过程中,我们需要什么知识,就学什么知识。」
搜狐视频发力知识直播 传播知识玩转科学
自 11 月 5 日至今,《张朝阳的物理课》已直播二十期。在第一、二课中,张朝阳科普了「力」和「速度」,算出马斯克的飞船和中国空间站每日绕地飞行圈数;第三、四课和「振动」相关,科普可见光的基本知识;第五、六课引发了关于音速和温度的大讨论;在第七、八、九课重温经典物理学的两朵乌云。
第十、十一课重点回顾黑体辐射曲线及其应用;第十二、十三、十四课尝试进入爱因斯坦的思想世界,推导出著名的公式「E=mc²」,并论证钟慢尺缩效应;第十五课讲解了原子的结构和原子核的衰变;第十六课开始进入量子力学,讨论光的波粒二象性、康普顿散射、海森堡不确定性原理,以及薛定谔方程等。
从近二十期的物理课可以看出,《张朝阳的物理课》的直播风格独树一帜——通过观察日常生活现象、用网友最熟悉的话题来提升兴趣,再以公式推导的方式解释其背后的物理原理,「透过现象看本质」,进而反过来解决生活中的类似问题。
张朝阳认为研究自然界是特别有意思的事情,他希望物理课的受众能保有好奇心,「在好奇心驱使下,了解自然界的奥秘,了解我们在这个世界生存的道理」。在后续课程中,他还将继续以这种直播风格解释生活中常见的物理现象,让普通人能够听懂、专业人士也能认可,激发科学学习的热潮。该课程于每周周五、周日 12 时在搜狐视频直播。同时,网友可以在搜狐视频「关注流」中搜索「张朝阳」,观看往期完整视频回放。
除《张朝阳的物理课》外,搜狐视频也邀请多位通识教育播主,科普知识,传递价值。北京交通大学理学院教师陈征博士玩起了「奇趣的科学实验」,走进「光的波粒二象性」;康奈尔大学物理化学博士包坤,化身「包大人玩科学」,教普通人看懂 2021 年诺贝尔奖;还有天体物理博士刘博洋科普「日全食是怎么产生的」等,近期走红的理论物理博士后周思益,也来搜狐视频开通「弦论世界」直播课。未来,还将有更多知识播主入驻,一起互动玩转科学。